Showdown at Hunters Point!
The Perfect storm of lawsuits is about to make toxic landfall at the Hunters Point Naval Shipyard
• • • • • • • • June 2024 • • • • • • • •
The United States government should be held to the highest standards of accountability for its actions. The Bayview Hunters Point community wants the Hunters Point Shipyard to be cleaned to a level that would enable the unrestricted use of the property - the highest standard of cleanup established by the United States Environmental Protection Agency.” Proposition P - November 07, 2000
Fight to Remediate Hunters Point Toxicity
Called a “textbook case of environmental injustice,” in The Elusive Quest for Environmental Justice at Hunters Point, Schwartz argues that “if the Navy and EPA can get away with a subpar cleanup at such a hazardous site, in one of the nation”s most historically progressive cities, environmental justice advocates fear a cascade of similar losses around the country.”
Proposition P passed by 86% of the San Francisco electorate on November 7, 2000. Over 243,000 voters approved the non-binding declaration establishing - as city policy - that the Hunters Point Naval Shipyard be cleaned to a standard that would permit the unrestricted use of the Federal Superfund site.
Prop P was applauded as the first voter initiative in the nation to codify “Community Acceptance” - one of nine criteria the Federal government says must be considered before a cleanup plan can be implemented.

Tetra Tech received over $250,000 in contracts for its work on the Hunters Point “cleanup” from 2006 - 2012. A confluence of major legal actions has moved forward to pretrial deposition testimony. Bayview Hunters Point Residents v Tetra Tech is bolstered by lawsuits brought by SFPD plaintiffs and the United States of America v Tetra Tech - on behalf of the Federal Government False Claims Act and maligned shipyard whistleblowers.”
The Community First Coalition formulated Proposition P, chaired by Lynne Brown and authored by Arc Ecology Director Saul Bloom. Bloom died of brain cancer in 2016, leaving a paper trail of documentation in Verdict Magazine of his exposure to heavy metals during a decade-long legal battle over contamination by Astoria Metals at Drydock 4.
Tony Montoya - President of the Police Officers Association, underwent emergency decompression of a brain tumor while serving at Building 606 at the Hunters Point Naval Shipyard.
By 2019, the San Francisco Department of Public Health was in the legal crosshairs of a high-powered law firm representing 400 police officers and staff who had been repeatedly assured Building 606—located on the shipyards” heavily contaminated Parcel E shoreline—was safe. Lead, copper, and petroleum products had been detected in drinking water, and air monitoring had detected alarmingly high levels of asbestos-containing toxic dust.
Abbey et al. v. Tetra Tech EC, Inc. was filed on November 14, 2019, as a class action lawsuit with over 300 SFPD plaintiffs. Kevin Abbey is a former member of the SFPD who alleges he was exposed to radioactive contamination through the negligence of the US Navy and fraud perpetrated by Tetra Tech.
The legal precedence set by these filings addresses fundamental questions about federal liability under Superfund law. Federal landowning agencies like the US Navy are liable, like any owner of contaminated land, for the cost of cleanup and collateral damage to residents and workers in environmental justice overburdened communities like Bayview Hunters Point.
Tetra Tech received over $250,000 in contracts for its work on the Hunters Point “cleanup” from 2006 - 2012. A confluence of major legal actions has moved forward to pretrial deposition testimony. Bayview Hunters Point Residents v Tetra Tech is bolstered by lawsuits brought by SFPD plaintiffs and the United States of America v Tetra Tech - on behalf of the Federal Government False Claims Act and maligned shipyard whistleblowers.
“Scientists, environmentalists and the people of Hunters Point have been pushed back and discredited by government officials and developers…until now!” Counterclockwise: Attorney Charles Bonner, Minister Christopher Muhammad, Environmental Scientist Wilma Subra and former Black Panther Party Chair Elaine Brown. Center - Expert Witness Ahimsa Porter Sumchai MD Photo: https://hunterspointcommunitylawsuit.com/
The Hunters Point Naval Shipyard was declared a Federal Superfund site in 1989 because of asbestos, PCBs, and radioactive materials contamination. At the time of its listing, HPNS was one of the nation”s most contaminated properties, with a Hazard Ranking Score of 80 overall and 100 for groundwater migration. The full EPA cumulus of toxins at HPNS is five pages long.
“Tetra Tech EC was retained to provide remediation services for a portion of the entire Hunters Point remediation project, under the direct supervision of the US Navy. In suggesting that the government was ultimately responsible for contamination and cleanup at the shipyard, both sides shared common ground.” Andrew Stroud - Hanson Bridgett Law Firm
Imagine for a moment that you are the parent of a 16-year-old. You gave permission—and the keys—to unlock and drive your car. You did so as the legal guardian, supervisor, and responsible party for a subordinate operating a potentially dangerous vehicle.
Now, imagine your 15-year-old drives the car into a neighbor”s tree while you are asleep. Do you claim legal authority to sue your 15-year-old for damages to your car…and to your neighbor”s tree? As legal guardian, do you demand reimbursement from the monthly allowance of an unsupervised subordinate for damages to the car and tree? That is the question!
The Federal government prosecuted Tetra Tech employees and now seeks financial reimbursement on behalf of the Navy for False Claims Act violations against Tetra Tech. Such actions are not enough to compensate for its negligence in federal oversight of a Superfund-listed property.
Legal experts contend the United States of America bears the “Lions Share” of blame in the Tetra Tech soil scandal. The US government had an obligation to properly oversee and supervise Tetra Tech during the Superfund restoration project and failed to recognize and halt activity that occurred over a four year window of potential human exposure.
The United States may be sued only to the extent it has waived its sovereign immunity. The United States has waived immunity for a broad category of claims under the Federal Tort Claims Act. A common thread weaves through three decades of legal actions against the Navy, the Master Developer Lennar Corporation/Five Point LLC and contractors at the Hunters Point Naval Shipyard.
It is summarized best in the January 17, 2023, Discussion by Presiding Judge James Donato in Abbey v. United States, 20-cv-06443:
“Plaintiffs say that the United States failure to warn the City & County of San Francisco about the hazardous substances used and released at HPNS was a substantial factor in causing the plaintiffs” acute symptoms and elevated risk of developing life-threatening cancers and other diseases. The misrepresentation theme is repeated throughout the Second Amended Complaint.”
Navy computers detected the collection of 2,500 “anomalous” soil samples between 2008 and 2012. It was 2014 before the soil scandal broke in major media. The Navy retained Tetra Tech as a contractor for four years following the release of its damning 2012 internal report detailing the collection of the fraudulent soil samples orchestrated by at least ten shipyard workers, according to David Anton, Attorney for the whistleblowers.
“I would not be adverse to saying the environment is a smoking gun.”
Kevin Grumbach, MD
A fence-line community is a neighborhood adjacent to a polluting industry negatively impacted by chemical, particulate, and odorous emissions, traffic routes, noise, and hazardous operations that devalue human health, safety, and private property. Fence-line communities are home to people of color, children, and the working poor.
“For nearly a century discriminatory laws and policies have led to the siting of subsidized and affordable housing on or close to Superfund sites. Today, Black Americans are 75% more likely to live near waste-producing facilities or within fenced-line communities, than the average American. Research shows adverse health effects occur within the 1.8 mile boundary around a Superfund site... Approximately 21 million people live within a mile of a Superfund site, exposing them to harmful chemicals and toxins such as lead, arsenic and mercury.”
A Federal Superfund site is a property so contaminated by hazardous materials or toxins it threatens the environment and human health. The Comprehensive Environmental Response, Compensation and Liability Act (CERCLA) — also known as Superfund — is a federal program that funds the cleanup of an estimated 1300 properties and facilities nationwide.

I wanted to do the right thing as far as exposing the company of its wrongdoings. What I”ve learned from this is that no one cares about our community. They were exposing us to asbestos without any warning and they didn”t care.” Christopher Carpenter - Toxic Terror in San Francisco Final Call - January 29, 2008.”
The goals of Superfund are to protect human health and the environment by cleaning up contaminated sites, making responsible parties pay for the cleanup—the Polluter Pays Principle—and involving communities in the remediation process to restore Federal Superfund sites to productive use.
The first health studies of San Francisco”s heavily polluted Bayview Hunters Point community found chronic illness hospitalizations four times higher than the state average. Doctors from the University of California at San Francisco and the Department of Public Health studied records from 1991 and 1992. They found hospitalization rates for asthma, congestive heart failure and emphysema were 138 per 10,000. The statewide average was 37 per 10,000. Kevin Grumbach, MD - the lead researcher - found unacceptably high rates of emergency room visits, hospitalizations and premature death for children.
Grumbachs” findings, amplified in 1995 by research conducted by Dr. Frances Taylor, found that African American women in BVHP census tracts under the age of 50 accounted for a breast cancer rate double that of San Francisco. Frances stated, “childhood cancers, leukemia, testicular and brain tumors are generally associated with exposures to toxic chemicals.”
In 2015, researchers examined 113,379 teachers living at a California address in 1995/1996 for environmental exposure to eleven hazardous air pollutants on the US EPA list. The study found long-term, low-dose exposure to cadmium and inorganic arsenic to be risk factors for breast cancer. Benzene has also been linked…all are chemicals of concern at HPNS.
In 2020, the Hunters Point Community Biomonitoring Program conducted geospatial mappings of fence line residents and workers with cancer-causing chemicals detected in high concentrations and cancers induced by exposure to ionizing radiation clustered around the half-mile perimeter of the Hunters Point Naval Shipyard.
“We are fighting this toxic genocide all the way to the top of the government ladder.” Bonner & Bonner - Attorneys for Plaintiffs - Hunters Point Community Lawsuit
Parcel A Shipyard worker Christopher Carpenter hospitalized for Stage 4 Peripheral T cell lymphoma (PTCL) in 2016. A 2021 research study found African Americans unlikely to develop this type of rare lymphoma. In a world-wide study, PCTL was linked to electrical workers. Carpenter died in March of 2016. Photo: Danielle Carpenter
Courage & Murder for Profit at Hunters Point Shipyard
Christopher Carpenter is the deceased principle plaintiff of the Hunters Point Community Lawsuit. Carpenter is memorialized in the 2007 unanimous vote by the San Francisco Board of Education for a Moratorium on the toxic dust generated by grading and excavation at HPNS. A 16 year-old Hunters Point resident who lived on Navy Road, Carpenter is revered for his actions to notify hilltop residents and schools of toxic dust exposures that triggered shutdowns at the Lennar construction site where he worked in 2006.
Carpenter was fired following a physical altercation with an angry supervisor notified the hilltop community of dangerous dust emissions. Carpenter sued contractor Gordon N. Ball in Superior Court for whistleblower retaliation in a lawsuit that documents his complaints about unsafe work conditions that violated BAAQMD and city Health codes. He died in 2016 of a rare cancer called peripheral T cell lymphoma.
“I wanted to do the right thing as far as exposing the company of its wrongdoings. What I”ve learned from this is that no one cares about our community. They were exposing us to asbestos without any warning and they didn”t care.” Christopher Carpenter - Toxic Terror in San Francisco Final Call - January 29, 2008.
Between 2006 and 2007, an estimated 2 million tons of serpentinite rock was graded from the Hunters Point hilltop for the ambitious mixed-use housing development that created Lennar”s new neighborhood on Parcel A. Photo: SF Bayview 2006
The Hunters Point Community Biomonitoring Program launched in 2019 providing urinary toxic exposure screenings, detailed environmental health evaluations and expert medical, legal and nutritional referrals for residents and workers within the one mile perimeter of a Federal Superfund site.
Astrophysicist Carl Sagan said, “extraordinary claims require extraordinary evidence.” The five-year findings of HP Biomonitoring support the conclusion that massive community-wide airborne, dermal, and ingestion exposures to Shipyard chemicals of concern occurred during the grading of the Hunters Point hilltop…and continue to date.
These exposures result from fugitive dust emissions generated by deep soil excavations and heavy equipment operations within feet of private homes, public housing, playgrounds, churches, schools, and the 3rd Street commercial transit corridor. These exposures are active and worsening in high-risk fence-line residents and workers.
Commonly detected chemicals of concern at HPNS are often in aggregate and in dangerously high concentrations. Chemicals commonly detected by HP Biomonitoring correspond to those documented to be present in Parcel A soils by the United States Environmental Protection Agency.
Role of Human Biomonitoring (HBM) in Toxic Tort Legal Actions
The embattled Hunters Point Naval Shipyard has been the site of an environmental war over its risks to public health and safety for over three decades. Central to the majority of legal actions filed is the allegation the US Navy misrepresented the extent of contamination of the base.
Biomonitoring detects pollution in people. Human biomonitoring (HBM) is a tool for environmental monitoring, mapping, and detection of contamination by pollutants in human body fluids and tissues. Biomonitoring can identify differences in exposure and disease expression among members of a diverse community over time.
Combined with geospatial mapping, HBM can pinpoint the source of exposure. Combined with environmental screening, mapping and enforcement tools like the CalEnviroScreen, EPA EJ Screen, EPA ECHO, BVHP IVAN, and DTSC EnviroStor, biomonitoring can amplify individual findings to a population level to advance environmental public health and adjudicate human exposure legal claims.
In over five years of operation, HP Biomonitoring has documented worsening exposure to radioactive and cancer-causing heavy metals in residents and workers within feet of the Parcel E-2 landfill and panhandle region and corridor of entry to the Naval Radiological Defense Laboratory Complex on Crisp Road. These activities occurring within the one-mile perimeter of the Hunters Point Naval Shipyard Federal Superfund System expose sensitive receptors on San Francisco streets.
These exposures are occurring today due to the Navy”s reckless negligence and defiance of Federal Superfund law, State of California Proposition 65 Enforcement violations, and Article 31 Health Code violations. These exposures are the source of personal and occupational injury to nearby sensitive receptors and the ecosystem.
Approximately 15 Hunters Point heavily exposed fence-line residents and workers have filed Federal Tort Claims to date. A decision on these personal injury claims is being formulated according to an email, dated April 30, 2024, sent by Thomas E. Campbell - Tort Claims Attorney, OJAG/TCU Norfolk.
In 2009, the US Government Accounting Office chastised the EPA for failing to incorporate information from biomonitoring studies into its assessment of chemicals. Today, numerous settlements and recoveries resulting from HBM findings have been entered as legal tools. Leading the top toxic tort settlements grounded in human biomonitoring is the community-wide exposure to lead in Flint, Michigan”s drinking water, which amassed total settlements of $659.25 million. Personal injury claims filed by people exposed to PFAS “forever chemicals” have settled for up to a million dollars!
John Miranda - Superstar!
Saving lives and making friends, John Miranda keeps forwarding the legal football on behalf of exposed Hunters Point workers and residents. You will remember Miranda as the subject of the May 2020 article “Toxic Metals Found in Shipyard Neighbors but Source Still Unknown.”
Miranda is the loyal UCSF animal technician who, for 26 years, worked at the federal Superfund site—within 200 feet of the Parcel E-2 radiation-contaminated, methane-producing industrial landfill at Building 830 -75 Crisp Road.
Miranda witnessed the eruption of the Parcel E-2 landfill in chemical flames on August 16, 2000, and its re-eruption days later. The landfill smoldered underground for months. An ATSDR report released the following year documented the detection of VOCs and manganese in air samples collected a month after the surface fire had been suppressed.
In 2019, Miranda developed disabling shortness of breath and fatigue. He underwent evaluation by two specialists - a cardiologist and pulmonologist — who agreed he had occupational asthma, heart failure, and findings on pulmonary function studies seen in people with scarring and damage to lung tissue called interstitial lung disease.
Manganese was detected in extremely high concentrations in Miranda”s biomonitoring test in 2020. Manganese is also detected in high concentrations in 15 UCSF Building 830 current and former workers. Indeed, the highest manganese concentrations HP Biomonitoring has logged are in four long term UCSF workers.
Miranda”s repeat biomonitoring tests in 2022 and 2023 detected chemicals in high concentrations documented by the Navy to be radionuclides of concern in Parcel E-2 soils. They are cobalt, thallium and gadolinium. Additionally, hand-held geiger counter surveys of the truck Miranda drove faithfully to work detected elevated radioactive particle and wave activity.
Despite overwhelming clinical and laboratory evidence of exposure to toxic chemicals at a worksite adjacent to a Federal Superfund landfill, Miranda filed for worker”s disability benefits in 2019 and, over five years, “suffered the slings and arrows of outrageous fortune” shot by a gallery of medical and legal professionals who attributed his difficulty breathing to obesity and allergic reactions to the lab animals he had cared for over a quarter of a decade.
In April 2024, Miranda received notice that UCSF attorneys had tripled their settlement offer to $150,000. Miranda and Attorney David Lowe welcomed the new offer but decided to table it until June 04, 2024, when a panel of workers” injury physicians will review the biomonitoring detections in all fifteen UCSF Workers to determine the occupational safety of Building 830.
At the March 30, 2024 meeting of the “Mayors” Hunters Point Shipyard CAC, Navy representatives presented a report mapping the location of elevated methane levels southeast of the UCSF compound. The Navy falsified the map and sited the UCSF compound west of the landfill—on Griffith Street in Hunters Point.
During the Parcel E-2 landfill fire, the Navy documented methane levels as high as 80% volume in the air. In a leaflet distributed to the HPS RAB in 2000, methane detections southeast of Building 830 at GMP06 were 67.2% volume in the air. Long-term UCSF Workers report the smell of methane in their work environment and have witnessed Navy Operations release subsurface pockets of methane into the atmosphere.
The release of landfill gas that accumulates in the late summer months of August and September, carries volatilized contents of the landfill to the surface including radioactive heavy metals, PCBs and volatilized organic compounds known to cause cancer. The cancer risk calculated for fence-line residents and workers exposed to landfill gas is 5 in 1000.
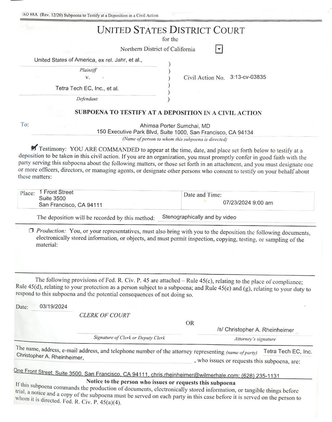
I have been served with a subpoena to testify at a deposition on July 23, 2024, in a civil action in the matter of United States of America v. Tetra Tech EC, Inc. et al. Additionally, I am honored to serve as an Expert Witness for the Hunters Point Community Lawsuit.
Dr. Ahimsa Porter Sumchai is a climate activist living on the Westside.
In Memoriam of George Donald Porter -Former HPNS Shipyard Worker & ILWU Walking Boss
June 2024























































































































































































































































































































